Calculadora de Área de Aço Usando o Ks, o Momento Fletor de Projeto e a Altura Útil da Viga
Calcular Área de Aço Usando o Ks, o Momento Fletor de Projeto e a Altura Útil da Viga
Informe os parâmetros necessários abaixo e veja o resultado no painel à direita.
Fórmula do Cálculo da Área de Aço Usando o Ks, o Momento Fletor de Projeto e a Altura Útil da Viga
Depois de calcular de calcular o Kc e encontrar o Ks na Tabela Kc e Ks Viga Concreto Armado Flexão Simples Seção Retangular Armadura Simples C20 a C50, tudo que precisamos fazer é calcular a área de aço correspondente.
Para isso podemos usar a seguinte fórmula:
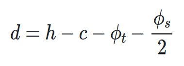
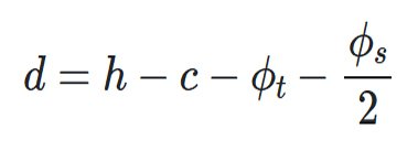
\[A_s = \frac{K_s \cdot M_d}{d} \]Onde
Ks é o valor calculado na Tabela Kc e Ks Viga Concreto Armado
Flexão Simples Seção Retangular Armadura Simples C20 a
C50 a partir da nossa Calculadora de Kc Viga Concreto Armado;
d é a altura útil da viga em cm. Veja
nossa Calculadora de Altura Útil d e d' da Viga;
Md é o Momento Fletor de Projeto, que deverá entrar
na fórmula em kN.cm. Veja nossa Calculadora de Viga Biapoiada Apoios Fixo e Móvel Carga Uniformemente Distribuída.
