Calculadora de Diâmetro, Circunferência e Raio a partir da Área do Círculo
Calcular Diâmetro, Circunferência e Raio a partir da Área do Círculo
Informe os parâmetros necessários abaixo.
Fórmulas para o Cálculo da Circunferência, Raio e Diâmetro a partir da Área do Círculo
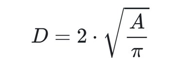
Como calcular o diâmetro do círculo a partir e sua área
O diâmetro de um círculo é um segmento de reta que passa pelo centro do círculo e conecta dois pontos na sua circunferência. É a maior corda possível dentro de um círculo. O diâmetro é igual a duas vezes o raio do círculo. Assim, se tivermos a área do círculo, o seu diâmetro pode ser calculado pela seguinte fórmula:
\[D = 2 \cdot \sqrt{\frac{A}{\pi}} \]Onde:
D é o diâmetro do círculo;
A é a área do círculo
Como calcular o raio do círculo a partir de sua área
O raio é a distância do centro do círculo até qualquer ponto na borda. Dessa forma, se tivermos a área do círculo, seu raio pode ser calculado pela seguinte fórmula:
\[r = \sqrt{\frac{A}{\pi}} \]Onde:
r é o raio do círculo;
A é a área do círculo
Como calcular a circunferência do círculo a partir de sua área
A circunferência de um círculo é o seu contorno, ou seja, o seu perímetro. Se tivermos a área do círculo, sua circunferência pode ser calculada pela seguinte fórmula:
\[C = 2 \cdot \pi \cdot \sqrt{\frac{A}{\pi}} \]Onde:
C é a circunferência do círculo;
A é a área do círculo
