Calculadora de Vazão pelo Método Racional
Calcular Vazão pelo Método Racional
Informe as informações solicitadas e observe o resultado no painel à direita.
Fórmula da Vazão pelo Método Racional
Apresentado pela primeira vez em 1851 por Mulvaney e usado por Emil Kuichling em 1889, o Método Racional é um método indireto e estabelece uma relação entre a chuva e o escoamento superficial (deflúvio).Usamos esta fórmula para calcular a vazão de pico de uma determinada bacia, considerando uma seção de estudo.
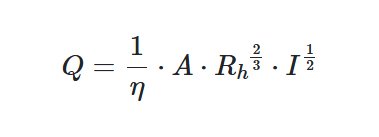
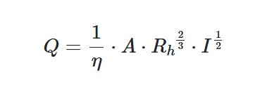
Eis a fórmula: \[Q = \frac{C \cdot I \cdot A}{360} \] Onde:
Q = vazão de pico (m3/s);
C = coeficiente de escoamento superficial que varia de 0 a 1.
I = intensidade média da chuva (mm/h);
A = área da bacia (ha), onde 1 ha = 10.000m2.
