Calculadora de Profundidade da Linha Neutra da Viga
Calcular Profundidade da Linha Neutra da Viga
Informe os parâmetros necessários abaixo.
Visualização
Observações sobre o Cálculo da Linha Neutra em Vigas de Concreto Armado
A Linha Neutra é uma posição em que, na seção transversal da viga, nós não temos nenhuma tensão nem deformação, ou seja, nessa linha, a viga não está sofrendo nem compressão nem tração. A tensão é nula e a deformação é nula.
A Linha Neutra é calculada a partir da fibra mais comprimida da viga e vai até o ponto no qual a tração se inicia. Em nossa calculadora você pode ver isso de forma visual.
A Linha Neutra, que depende principalmente da altura útil da viga, é usada para descobrirmos o domínio de deformação no qual a nossa viga está operando.
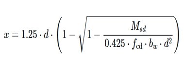
Veja agora a fórmula usada para o Cálculo da Linha Neutra em vigas de concreto armado:
\[x = 1.25 \cdot d \cdot \left(1 - \sqrt{1 - \frac{M_{sd}}{0.425 \cdot f_\text{cd} \cdot b_w \cdot d^2}} \right) \]Onde
x é a posição da linha neutra em cm;
d é a altura útil da viga em cm;
Msd é o momento fletor de cálculo da viga em kN.cm. Lembre-se
de aplicar o coeficiente de majoração 1.4 ao momento característico em kN.m e depois
multiplicar por 100 para obter o momento de cálculo em kN.cm;
fcd é a resistência de cálculo do concreto em kN/cm2. Para
converter de MPa para kN/cm2, basta dividirmos por 10;
bw é a largura da viga em cm.
