Calculadora de Momento de Inércia de Área Retângulo e Quadrado
Calcular Momento de Inércia de Área Retângulo e Quadrado
Informe os parâmetros necessários abaixo.
Visualização
Fórmula do Cálculo do Momento de Inércia de Área de um Retângulo ou Quadrado
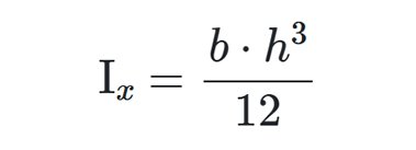
Assumindo que b seja a largura da base do retângulo ou quadrado e h seja a altura, o Momento de Inércia de Área no eixo x pode ser calculado da seguinte forma:
\[\text{I}_x = \frac{b \cdot h^3}{12} \]Já o Momento de Inércia de Área no eixo y pode ser calculado por:
\[\text{I}_y = \frac{b^3 \cdot h}{12} \]O resultado é dado em mm4, cm4, m4, etc.
Sobre o Momento de Inércia de Área (ou Segundo Momento de Área)
O segundo momento de área, também conhecido como momento de inércia de área ou momento de segunda ordem de área, é uma medida da resistência de uma seção transversal a um momento fletor. Ele é calculado por uma integral dupla sobre a área da seção, sendo que cada elemento de área é multiplicado pelo quadrado da sua distância ao eixo de interesse.
Importância:
O segundo momento de área é uma propriedade fundamental em mecânica dos materiais e engenharia estrutural, pois:
- É usado para calcular a resistência de vigas e outros elementos estruturais à flexão.
- Afeta a capacidade de uma seção transversal de resistir a deformações e rotações.
- É usado no cálculo de tensões de flexão e momentos fletores em estruturas.
- Aumenta a resistência à deformação, tornando a estrutura mais rígida.
O segundo momento de área é uma medida da resistência da seção transversal a um momento fletor, calculada pela integral da distância ao quadrado dos elementos de área. Ele é essencial no cálculo de tensões, momentos fletores e resistência de vigas e outros elementos estruturais.
