Calculadora de Módulo de Resistência Transversal W0 Vigas Seção Retangular
Calcular Módulo de Resistência Transversal W0 Vigas Seção Retangular
Informe os parâmetros necessários abaixo e veja os resultados no painel à direita.
Visualização
Use o mouse para mover o gráfico
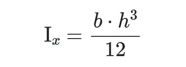
Fórmula do Cálculo do Módulo de Resistência Transversal Vigas Seção Retangular
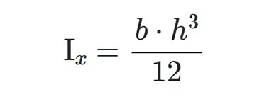
Assumindo que b seja a largura da viga de seção retangular e h seja a altura, o Módulo de Resistência Transversal W0 em relação à sua parte mais tracionada pode ser calculado da seguinte forma:
\[W_0 = \frac{b \cdot h^2}{6} \]O resultado é dado em mm3, cm3, m3, etc.
