Bem-vindo(a) ao PlanilhaWeb - Calculadoras e Planilhas On-Line
Novidades
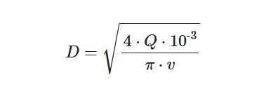
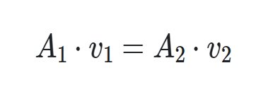
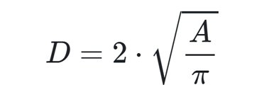
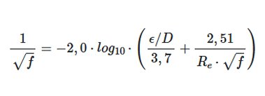
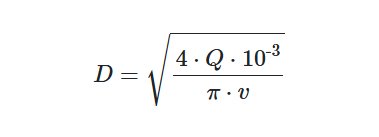
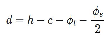
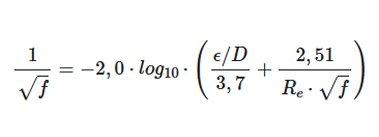
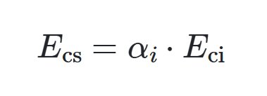
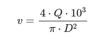
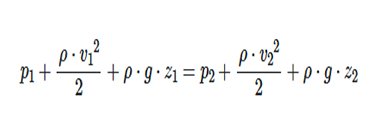
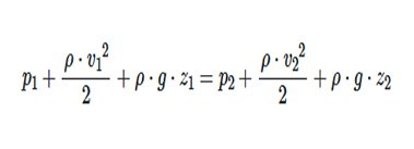
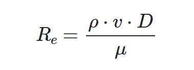
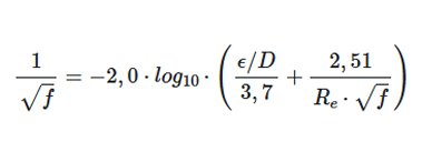
Planilha de Dimensionamento de Tubulações
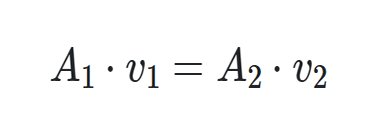
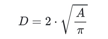
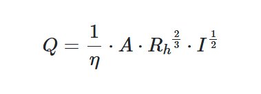
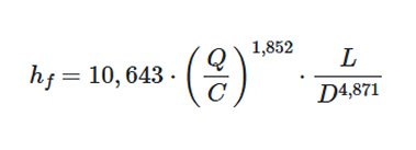
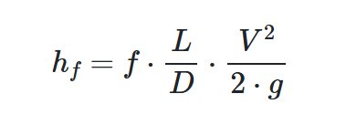
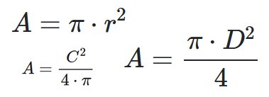
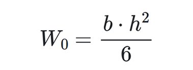
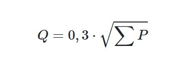
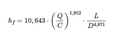
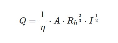
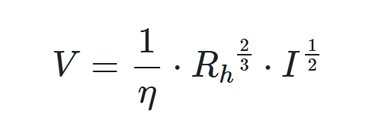
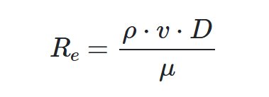
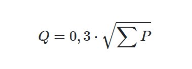
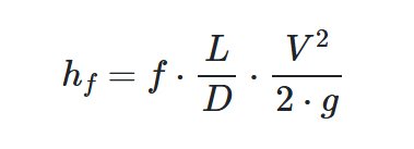
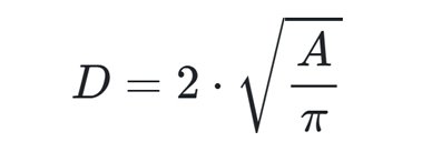
Hidráulicas Água Fria e Água Quente CompletaNossa planilha automática de dimensionamento de tubulações de água fria e quente é uma ferramenta desenvolvida para auxiliar engenheiros e projetistas no cálculo rápido e preciso das redes hidráulicas de edificações. Por meio da inserção de dados como vazão, diâmetro da tubulação, comprimento da rede, material do tubo e coeficientes hidráulicos, a planilha realiza automaticamente os cálculos necessários para verificar velocidade da água, perda de carga e dimensionamento adequado das tubulações.
