Dúvidas, comentários e doações:
+55 62 9 8513 2505
Convidado
Convidado
Convidado
Criar Uma Conta
Acessar Minha Conta
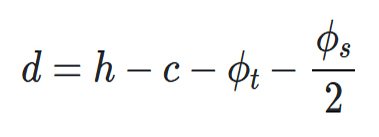
Tabela Kc e Ks Viga Concreto Armado Flexão Simples Seção Retangular Armadura Simples C20 a C50
Página Inicial
Calculadoras
Concreto Armado - Vigas
Tabela Kc e Ks Viga Concreto Armado Flexão Simples Seção Retangular Armadura Simples C20 a C50
Outros usuários estão vendo
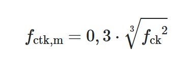
Concreto - Calculadora de Resistência de Cálculo à Tração do Concreto
Calculadora de Perda de Carga Distribuída Fórmula Hazen-Williams - Hidráulica - Condutos Forçados
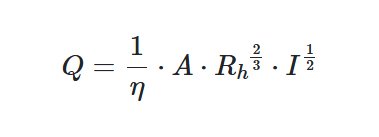
Calculadora de Vazão Equação de Hazen-Williams - Hidráulica - Condutos Forçados
Tabela de Taxa de Ocupação de Acordo Com a Natureza do Local - Projetos Hidrossanitários
Planilha de Dimensionamento de Tubulações Hidráulicas Água Fria e Água Quente Completa
Concreto - Calculadora de Resistência Média, Inferior e Superior à Tração do Concreto
Calculadora de Vazão Método dos Pesos Relativos - Projetos Hidrossanitários
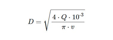
Calculadora de Diâmetro de Tubulações de Água Fria e Quente a Partir da Vazão e da Velocidade - Projetos Hidrossanitários
Tabela de Perdas de Cargas Localizadas - Equivalência em metros de tubulação de PVC rígido ou cobre - Projetos Hidrossanitários